Ir para o conteúdo principal
Pesquisar
Conectar
Assistir em tela cheia
Curtir
Compartilhar
Favorito
Mais
Adicionar à playlist
Reportar
okuadro
Seguir
Curtir
Compartilhar
Favorito
Mais
Adicionar à playlist
Reportar
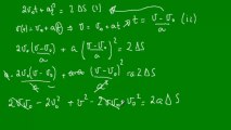
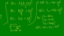
18 - MUV - Lançamento vertical - Aula 3
há 12 anos
Categoria
📚
Aprendizado
Ocultar
Comentários
Adicionar seu comentário
01 - Cinemática
2:21
|
A Seguir
18 - MUV - Lançamento vertical - Aula 3
okuadro
há 12 anos
3:02
17 - MUV - Lançamento vertical - Aula 2
okuadro
há 12 anos
3:11
16 - MUV - Lançamento vertical - Aula 1
okuadro
há 12 anos
4:09
15 - MUV - Construção de gráficos - Aula 2
okuadro
há 12 anos
5:19
14 - MUV - Construção de gráficos - Aula 1
okuadro
há 12 anos
2:52
13 - MUV - Equação de Torricelli - Exemplo
okuadro
há 12 anos
5:06
12 - MUV - Equação de Torricelli - Demonstração
okuadro
há 12 anos
2:01
11 - MUV - Função horária da posição - Aula 2
okuadro
há 12 anos
4:43
10 - MUV - Função horária da posição - Aula 1
okuadro
há 12 anos
2:36
09 - MUV - Velocidade como função do tempo - Aula 2
okuadro
há 12 anos
4:07
08 - MUV - Velocidade como função do tempo - Aula 1
okuadro
há 12 anos
5:38
07 - MUV - Movimento uniformemente variado
okuadro
há 12 anos
6:08
06 - MUV - Acelaração escalar média
okuadro
há 12 anos
6:48
05 - MRU - Propriedades do gráfico da velocidade
okuadro
há 12 anos
6:12
04 - MRU - Gráficos
okuadro
há 12 anos
8:45
03 - MRU - Encontro de dois carros - Exemplo 2
okuadro
há 12 anos
7:30
02 - MRU - Encontro de dois carros - Exemplo 1
okuadro
há 12 anos
6:23
01 - MRU - Função horária
okuadro
há 12 anos
Recomendado
4:36
09 - Referencial de Gauss - parte 1
okuadro
há 12 anos
6:46
08 - Características das imagens dos espelhos côncavos e convexos - parte 1
okuadro
há 12 anos
4:43
07 - Características das imagens dos espelhos côncavos e convexos - parte 1
okuadro
há 12 anos
7:00
06 - Construção geométrica das imagens
okuadro
há 12 anos
4:38
05 - Espelhos esféricos de Gauss - propriedades dos raios de luz - parte 2
okuadro
há 12 anos
4:07
04 - Espelhos esféricos de Gauss - propriedades dos raios de luz - parte 1
okuadro
há 12 anos
5:15
03 - Espelhos esféricos de Gauss - Focos e feixe de luz refletido
okuadro
há 12 anos
7:25
02 - Espelhos esféricos - Definição do espelho esférico de Gauss
okuadro
há 12 anos
5:43
01 - Espelhos esféricos - Definição e elementos
okuadro
há 12 anos
7:33
12 - Tamanho e altura do espelho em relação ao objeto
okuadro
há 12 anos
5:15
11 - Imagens de um objeto entre dois espelhos - aplicação da fórmula
okuadro
há 12 anos
4:15
10 - Imagens de um objeto entre dois espelhos - demonstração gráfica
okuadro
há 12 anos
6:24
09 - Rotação de um espelho plano - demonstração da fórmula
okuadro
há 12 anos
4:15
08 - Rotação de um espelho plano
okuadro
há 12 anos
6:50
06 - Translação de um espelho plano
okuadro
há 12 anos
5:31
07 - Translação de um espelho plano - demonstração das fórmulas
okuadro
há 12 anos
6:57
05 - Campo visual de um espelho plano
okuadro
há 12 anos
4:10
04 - Imagem de um objeto extenso num espelho plano
okuadro
há 12 anos
7:14
02 - Imagem de um objeto num espelho plano
okuadro
há 12 anos
5:28
03 - Inversão da imagem em um espelho plano
okuadro
há 12 anos
6:15
01 - Reflexão da luz - Leis da reflexão
okuadro
há 12 anos
5:32
10 - Fases da Lua
okuadro
há 12 anos
4:42
09 - Reversibilidade e independência dos raios de luz
okuadro
há 12 anos
6:05
08 - Propagação retilinea da luz - Ângulo visual e aplicações
okuadro
há 12 anos
5:00
07 - Propagação retilinea da luz - Câmara escura de orifício
okuadro
há 12 anos
0:51
Former Aide Claims She Was Asked to Make a ‘Hit List’ For Trump
Veuer
há 2 anos
1:08
Musk’s X Is ‘the Platform With the Largest Ratio of Misinformation or Disinformation’ Amongst All Social Media Platforms
Veuer
há 2 anos
4:50
59 companies that are changing the world: From Tesla to Chobani
Fortune
há 2 anos
0:46
3 Things to Know About Coco Gauff's Parents
People
há 2 anos
1:18
USC vs. Colorado: Can Caleb Williams Earn a New Heisman Moment?
SportsGrid
há 2 anos
Comentários