Passer au player
Passer au contenu principal
Rechercher
Se connecter
Regarder en plein écran
Like
Partager
Favori
Plus
Ajouter à la playlist
Signaler
pascale richard
Suivre
Like
Partager
Favori
Plus
Ajouter à la playlist
Signaler
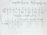
résoudre une équation comportant une exponentielle
il y a 15 ans
Catégorie
🤖
Technologie
Voir moins
Commentaires
Ajoute ton commentaire
Recommandations
1:44
|
À suivre
Pythagore de Samos
pascale richard
il y a 15 ans
3:35
TRIGO
pascale richard
il y a 15 ans
4:34
THALES
pascale richard
il y a 15 ans
1:37
Pythagore
pascale richard
il y a 15 ans
1:10
TRIANGLE EQUILATERAL
pascale richard
il y a 15 ans
0:51
PROPRIETE du TRIANGLE RECTANGLE
pascale richard
il y a 15 ans
1:04
TRIANGLE ISOcELE
pascale richard
il y a 15 ans
2:23
résoudre une inéquation comportant une exponentielle
pascale richard
il y a 15 ans
3:16
organiser un calcul
pascale richard
il y a 15 ans
2:35
factorisation d'une expression
pascale richard
il y a 15 ans
4:04
développement d'une expression algébrique
pascale richard
il y a 15 ans
3:18
préambule à la fonction exponentielle
pascale richard
il y a 15 ans
1:40
tableau de valeurs de la fonction exponentielle
pascale richard
il y a 15 ans
2:17
fonction réciproque de la fonction ln
pascale richard
il y a 15 ans
8:06
immeuble en perspective centrale
pascale richard
il y a 15 ans
8:30
corrigé exo perspective bac L métropole réunion sept 2010
pascale richard
il y a 15 ans
8:39
banc en perspective centrale bac antilles juin 2010
pascale richard
il y a 15 ans
15:31
Sadie Sink, Finn Wolfhard, & Gaten Matarazzo Reflect on 'Stranger Things' | Table Read | Esquire
Esquire
il y a 3 mois
2:08
Learn How to Tie a Tie Just Like That
POPSUGAR Fashion
il y a 8 ans
2:13
La tombe des lucioles
Y.Hoshi 🦖
il y a 2 semaines
8:07
Lazy Day Steak Frites
Glen & Friends Cooking Food
il y a 7 ans
0:42
Kim Kardashian Is ‘Committed’ To Overturning Julius Jones’ Death Sentence: Watch
OK Magazine
il y a 5 ans
12:46
How the Brooklyn Bridge Has Adapted to 140 Years of New York City
Architectural Digest
il y a 4 semaines
3:35
PAPER Presents: How To Make A Good Black Coffee
PAPER Magazine
il y a 9 ans
6:46
Why Kristen Stewart is Saving This Historic LA Movie Theatre
Architectural Digest
il y a 6 jours
Commentaires